• العربية
  • English
Brand
  • برنامه‌ها
  • تلویزیون
  • شنیداری
  • ایران
  • جهان
  • حقوق بشر
  • انقلاب ملی
  • جاویدنامان
  • گزارش ویژه
  • ورزش
  • بازار
  • برنامه‌ها
  • تلویزیون
  • شنیداری
  • ایران
  • جهان
  • حقوق بشر
  • انقلاب ملی
  • جاویدنامان
  • گزارش ویژه
  • ورزش
  • بازار
  • پوسته
  • زبان
    • العربية
    • English
  • برنامه‌ها
  • تلویزیون
  • شنیداری
  • ایران
  • جهان
  • حقوق بشر
  • انقلاب ملی
  • جاویدنامان
  • گزارش ویژه
  • ورزش
  • بازار
کلیه حقوق قانونی این سایت متعلق به ولانت‌مدیا است.
volant media logo

چگونه توافق اسرائیل و حماس شکل گرفت؛ از نیویورک تا شرم‌الشیخ

۱۹ مهر ۱۴۰۴، ۰۳:۰۴ (‎+۱ گرینویچ)

نخستین آتش‌بس جدی میان اسرائیل و حماس پس از ماه‌ها مذاکره فشرده با میانجی‌گری ایالات متحده، مصر و قطر برقرار شد. این آتش‌بس بخشی از «طرح ۲۰ ماده‌ای دونالد ترامپ» برای پایان جنگ غزه است. گزارش حاضر نگاهی دارد به مسیر چندماهه‌ای که سرانجام به این توافق تاریخی انجامید.

مرداد ۱۴۰۴؛ پذیرش نخستین طرح آتش‌بس
در مرداد ۱۴۰۴، حماس با طرح جدید آتش‌بس پیشنهادی مصر و قطر موافقت کرد؛ طرحی که از مذاکرات پیشین و مبادله‌های گروگان‌ها الهام گرفته بود. یک مقام آمریکایی به سی‌بی‌اس نیوز گفت که این طرح عناصر مورد نظر سه طرف — اسرائیل، حماس و دولت ترامپ — را در بر داشت و به‌تدریج به طرح جامع ۲۰ ماده‌ای صلح تبدیل شد.

۳۱ شهریور تا ۲ مهر ۱۴۰۴؛ مذاکرات فشرده در حاشیه سازمان ملل
در حاشیه نشست مجمع عمومی سازمان ملل در نیویورک، استیو ویتکاف (فرستاده ویژه ترامپ) و جرد کوشنر (مشاور و داماد رئیس‌جمهوری) طرح ۲۰ ماده‌ای را به شیخ محمد بن عبدالرحمن آل‌ثانی، نخست‌وزیر قطر، ارائه کردند تا متن نهایی را بازنویسی و دقیق‌تر کنند.

سپس نسخه جدید برای رهبران عرب از جمله ترکیه و مصر ارسال شد. در اول مهر، ترامپ طرح را در نشستی با چند رهبر عرب معرفی کرد و بازخوردهای متعددی دریافت کرد. یکی از مقامات آمریکایی گفت: «آن نشست نقطه آغاز فاز سیاسی طرح بود.»

۲ تا ۶ مهر ۱۴۰۴؛ آماده‌سازی نسخه نهایی با محوریت عذرخواهی اسرائیل
پس از پایان اجلاس سازمان ملل، کوشنر و ویتکاف در نیویورک ماندند تا نسخه نهایی طرح را آماده کنند. یکی از بندهای مهم آن، عذرخواهی رسمی بنیامین نتانیاهو از قطر بود؛ اقدامی برای ترمیم روابط پس از حمله هوایی اسرائیل به دوحه که در آن چند مقام حماس و یک نظامی قطری کشته شدند.

یک مقام آمریکایی گفت: «این بند عذرخواهی اعتماد تازه‌ای ایجاد کرد و باعث شد راه برای مذاکرات جدی‌تر باز شود.»

۷ مهر ۱۴۰۴؛ تماس سه‌جانبه ترامپ، نتانیاهو و نخست‌وزیر قطر
ترامپ در دیدار با نتانیاهو در کاخ سفید، طرح را به‌طور رسمی اعلام کرد. در تماس تلفنی سه‌جانبه با نخست‌وزیر قطر، نتانیاهو بابت حملات هوایی به دوحه عذرخواهی کرد و گفت کشته‌شدن نظامی قطری «غیرعمد و مایه تأسف عمیق» بوده است.

به گفته یک مقام ارشد آمریکایی به سی‌بی‌اس، این اقدام «یک نقطه عطف در فضای بی‌اعتمادی میان طرف‌ها» بود و در جهان عرب بازتاب مثبتی داشت. در همان زمان، ارزیابی‌های اطلاعاتی نشان می‌داد که حماس نیز «به نقطه خستگی و تمایل به مصالحه» رسیده است.

اوایل مهر ۱۴۰۴؛ شکل‌گیری تماس‌های پشت‌پرده
چند روز بعد، با هماهنگی مصر، نشستی در شرم‌الشیخ میان رؤسای اطلاعاتی مصر و ترکیه و نخست‌وزیر قطر برگزار شد تا راه برای گفت‌وگوهای مستقیم اسرائیل و حماس باز شود.

در تاریخ ۱۱ مهر ۱۴۰۴، زمانی که کوشنر در فلوریدا بود و شنید حماس آماده مذاکره بر سر آزادی گروگان‌ها شده، فوراً به خانه ویتکاف در میامی رفت تا روی جزئیات طرح کار کنند.

۱۳ تا ۱۴ مهر ۱۴۰۴؛ دیدار مستقیم نمایندگان اسرائیل و حماس
با میانجی‌گری ترکیه، قطر و مصر، نمایندگان حماس و اسرائیل برای نخستین بار در شرم‌الشیخ پشت میز مذاکره نشستند. وقتی تیم‌های فنی به پیشرفت قابل توجهی دست یافتند، کوشنر و ویتکاف نیز به مذاکرات پیوستند تا بر مفاد سیاسی و انسانی توافق تمرکز کنند.

100%

۱۶ مهر ۱۴۰۴؛ روز سرنوشت‌ساز در شرم‌الشیخ
کوشنر و ویتکاف صبح زود وارد شرم‌الشیخ شدند و بیش از ۲۰ ساعت پی‌درپی مذاکره کردند. آنان توافق را به دو مرحله تقسیم کردند:

۱. فاز اول: آزادی گروگان‌های اسرائیلی و تعدادی از زندانیان فلسطینی.
۲. فاز دوم: برقراری آتش‌بسی تقریباً دائمی، خلع سلاح تدریجی گروه‌ها و تشکیل دولت تکنوکرات در غزه.

ترامپ از واشنگتن پیام داد: «اول از همه، توافق را نهایی کنید.» یکی از مقام‌ها گفت: «او در جریان همه جزئیات بود و دست‌کم سه بار مستقیماً با کوشنر و ویتکاف تماس گرفت.»

در شامگاه همان روز، مقام‌های آمریکایی از «پیشرفت‌های جدی» خبر دادند. دو طرف پس از روزها گفت‌وگو و رفع سوءتفاهم‌ها بر سر آزادی ۲۰ گروگان اسرائیلی در ازای زندانیان فلسطینی به توافق رسیدند.

یکی از مذاکره‌کنندگان گفت: «اعتماد متقابل بالا رفت، فضای انسانی‌تری بر گفت‌وگو حاکم شد و رهبران عرب احساس کردند توافق واقعاً ممکن است.»

۱۷ مهر ۱۴۰۴؛ اعلام رسمی توافق
ساعت ۵:۳۰ عصر به وقت واشینگتن (۲:۳۰ بامداد به وقت شرم‌الشیخ)، ترامپ در پستی در شبکه اجتماعی تروث‌سوشال نوشت: «امروز روزی بزرگ برای جهان عرب و اسلام، اسرائیل و ایالات متحده است. خوشا به حال صلح‌آفرینان!»

پس از اعلام توافق، کوشنر و ویتکاف به قاهره رفتند و در دیدار با عبدالفتاح السیسی، رئیس‌جمهوری مصر، درباره فاز اجرایی طرح گفت‌وگو کردند. سپس به تل‌آویو پرواز کردند.

100%

۱۷ مهر ۱۴۰۴، تل‌آویو؛ استقبال کابینه اسرائیل
در تل‌آویو، آن دو با اسحاق هرتزوگ، رئیس‌جمهوری اسرائیل، و سپس با بنیامین نتانیاهو دیدار کردند. در جلسه کابینه، پس از ارائه جزئیات طرح، حاضران برای آنان کف زدند. یک مقام آمریکایی گفت: «البته اختلاف‌نظرهایی وجود داشت، اما همه بر سر بازگشت گروگان‌ها و آغاز روند صلح توافق داشتند.»

مقامات آمریکایی هشدار دادند که مسیر اجرای توافق هنوز پرمخاطره است و واشینگتن به‌دقت بر جزئیات نظارت خواهد کرد تا از بروز سوء‌تفاهم جلوگیری شود.

یکی از اعضای تیم ترامپ گفت: «شاید دلیل موفقیت ترامپ این بود که اهل میانه‌روی نبود. او کاملاً در کنار اسرائیل ایستاد، و همین باعث شد اسرائیلی‌ها به او اعتماد کنند و گفت‌وگوها به‌طور بی‌سابقه‌ای صریح و خلاقانه پیش برود.»

با اجرای مرحله نخست طرح صلح، نیروهای اسرائیلی از بخش‌هایی از غزه عقب‌نشینی کرده‌اند و شمارش معکوس برای آزادی تمام گروگان‌ها آغاز شده است. اگر این روند طبق برنامه پیش برود، جهان شاهد نخستین آتش‌بس پایدار میان اسرائیل و حماس از زمان آغاز جنگ خواهد بود.

پربازدیدترین‌ها

کارزار مردمی ایران‌اینترنشنال؛ آنچه در شب‌های جنایت رشت اتفاق افتاد
۱
گزارش ویژه

کارزار مردمی ایران‌اینترنشنال؛ آنچه در شب‌های جنایت رشت اتفاق افتاد

۲

اکسیوس: تفاهم اولیه واشینگتن و تهران آماده شده و منتظر تصمیم ترامپ است

۳
اختصاصی

منبع نزدیک به مذاکرات: درباره ابعاد هماهنگی قالیباف با مجتبی خامنه‌ای تردید وجود دارد

۴

موج محکومیت منطقه‌ای پس از حمله جمهوری اسلامی به کویت؛ تهران آمریکا را مقصر خواند

۵

نام و اطلاعات شماری از جاویدنامان از سامانه بهشت زهرا پاک شده است

انتخاب سردبیر

  • نهاله شهیدی یزدی، شهروند بهائی و فعال حقوق کودکان، برای تحمل شش سال حبس احضار شد

    نهاله شهیدی یزدی، شهروند بهائی و فعال حقوق کودکان، برای تحمل شش سال حبس احضار شد

  • سایه سنگین بحران اقتصادی بر زندگی معلولان؛ افزایش حمایت‌ها در انتظار تصویب دولت

    سایه سنگین بحران اقتصادی بر زندگی معلولان؛ افزایش حمایت‌ها در انتظار تصویب دولت

  • سازمان ملل متحد، تجاوز و خشونت جنسی طالبان علیه زنان افغان را تایید کرد

    سازمان ملل متحد، تجاوز و خشونت جنسی طالبان علیه زنان افغان را تایید کرد

  • مدارس غیرانتفاعی؛ چگونه آموزش خصوصی از رفاه تا فرهنگ به بازتولید طبقه حاکم کمک کرد
    تحلیل

    مدارس غیرانتفاعی؛ چگونه آموزش خصوصی از رفاه تا فرهنگ به بازتولید طبقه حاکم کمک کرد

  • نام و اطلاعات شماری از جاویدنامان از سامانه بهشت زهرا پاک شده است

    نام و اطلاعات شماری از جاویدنامان از سامانه بهشت زهرا پاک شده است

•
•
•

مطالب بیشتر

ارتش آمریکا با اعزام ۲۰۰ نیروی نظامی به اسرائیل بر آتش‌بس غزه نظارت می‌کند

۱۸ مهر ۱۴۰۴، ۰۱:۱۵ (‎+۱ گرینویچ)
ارتش آمریکا با اعزام ۲۰۰ نیروی نظامی به اسرائیل بر آتش‌بس غزه نظارت می‌کند
100%

یک مقام آمریکایی خبر داد که فرماندهی مرکزی ایالات متحده برای حمایت از توافق آتش‌بس میان حماس و اسرائیل و نظارت بر آن در حال ایجاد یک مرکز هماهنگی در خاک اسرائیل است.

این مقام تاکید کرد که ۲۰۰ سرباز آمریکایی در خاک اسرائیل مستقر می‌شوند و بر تحولات نظارت خواهند داشت اما هیچ یک از آن‌ها «به غزه اعزام نمی‌شوند.»

به گفته او، تسهیل جریان کمک‌های بشردوستانه و کمک به غزه در امور لجستیکی و امنیتی از جمله وظایف این مرکز است.

به 'گزارش سی‌ان‌ان، سربازان اعزامی آمریکا، تحت نظارت دریاسالار بردلی کوپر، فرمانده فرماندهی مرکزی ایالات متحده، برای اطمینان از سلامت آتش‌بس و پیشگیری از نقض آن، به نیروهای نظامی مصر، قطر، ترکیه و امارات متحده عربی ملحق می‌شوند.

شبکه کان جزییات توافقی را که در مصر به امضای طرفین رسید منتشر کرد

۱۷ مهر ۱۴۰۴، ۲۳:۴۳ (‎+۱ گرینویچ)
شبکه کان جزییات توافقی را که در مصر به امضای طرفین رسید منتشر کرد
100%

به گزارش شبکه عمومی اسرائیل (کان)، نسخه‌ای از توافق سه‌جانبه میان اسرائیل، حماس و میانجی‌های بین‌المللی در مصر منتشر شده که هدف آن پایان کامل جنگ غزه و آزادی تمامی گروگان‌هاست.

این سند با عنوان «مراحل اجرای طرح رئیس‌جمهوری ترامپ برای پایان جامع جنگ غزه» تنظیم شده و جزئیات مراحل اجرای توافق را توضیح می‌دهد. بر اساس متن توافق، نخستین گام با اعلام رسمی رئیس‌جمهوری ایالات متحده درباره پایان جنگ و تعهد طرفین به اجرای مفاد آن آغاز می‌شود.

در مرحله دوم، جنگ بلافاصله پس از تصویب توافق در دولت اسرائیل متوقف خواهد شد و تمامی عملیات نظامی خاتمه می‌یابد. جلسه کابینه اسرائیل برای رأی‌گیری درباره این طرح شامگاه پنجشنبه برگزار شد.

مرحله سوم شامل آغاز فوری ورود کامل کمک‌های بشردوستانه و امدادی به نوار غزه است و در مرحله چهارم آمده که نیروهای ارتش اسرائیل طبق نقشه ضمیمه‌شده، ظرف ۲۴ ساعت پس از تصویب توافق در دولت و اعلام رسمی رئیس‌جمهوری آمریکا از مناطق مشخص‌شده عقب‌نشینی خواهند کرد. طبق این سند، تا زمانی که حماس به‌طور کامل تعهدات خود را اجرا کند، نیروهای اسرائیلی اجازه بازگشت به این مناطق را نخواهند داشت.

  • با توافق آتش‌بس، گروگان‌های اسرائیلی آزاد و اجساد گروگان‌های کشته شده تحویل داده می‌شوند

    با توافق آتش‌بس، گروگان‌های اسرائیلی آزاد و اجساد گروگان‌های کشته شده تحویل داده می‌شوند

در مرحله پنجم تصریح شده است که حداکثر تا ۷۲ ساعت پس از عقب‌نشینی ارتش اسرائیل، تمام گروگان‌های اسرائیلی، چه زنده و چه جان‌باخته، آزاد خواهند شد. در یکی از بندهای فرعی این مرحله نیز به ایجاد سازوکاری برای تبادل اطلاعات درباره گروگان‌های کشته‌شده یا اجساد فلسطینیان در اختیار اسرائیل اشاره شده است. این سازوکار موظف است انتقال و تحویل امن بقایای تمام گروگان‌ها را تضمین کند.

همچنین طبق بند دیگری، آزادی گروگان‌ها از سوی حماس همزمان با آزادی زندانیان فلسطینی از سوی اسرائیل و بر اساس فهرست‌های ضمیمه انجام خواهد شد. مبادله زندانیان و گروگان‌ها با هماهنگی میانجی‌ها و صلیب سرخ بین‌المللی، بدون هیچ‌گونه مراسم رسمی یا پوشش رسانه‌ای، صورت می‌گیرد.

در آخرین بخش توافق، تشکیل یک کارگروه مشترک از نمایندگان آمریکا، قطر، مصر، ترکیه و سایر کشورهایی که به توافق طرفین می‌رسند پیش‌بینی شده تا اجرای مفاد توافق را پیگیری و میان دو طرف هماهنگی ایجاد کند.

به گزارش شبکه کان، این توافق ضمائمی نیز دارد که جزئیات بیشتری درباره مراحل اجرایی و زمان‌بندی آن ارائه می‌دهد.

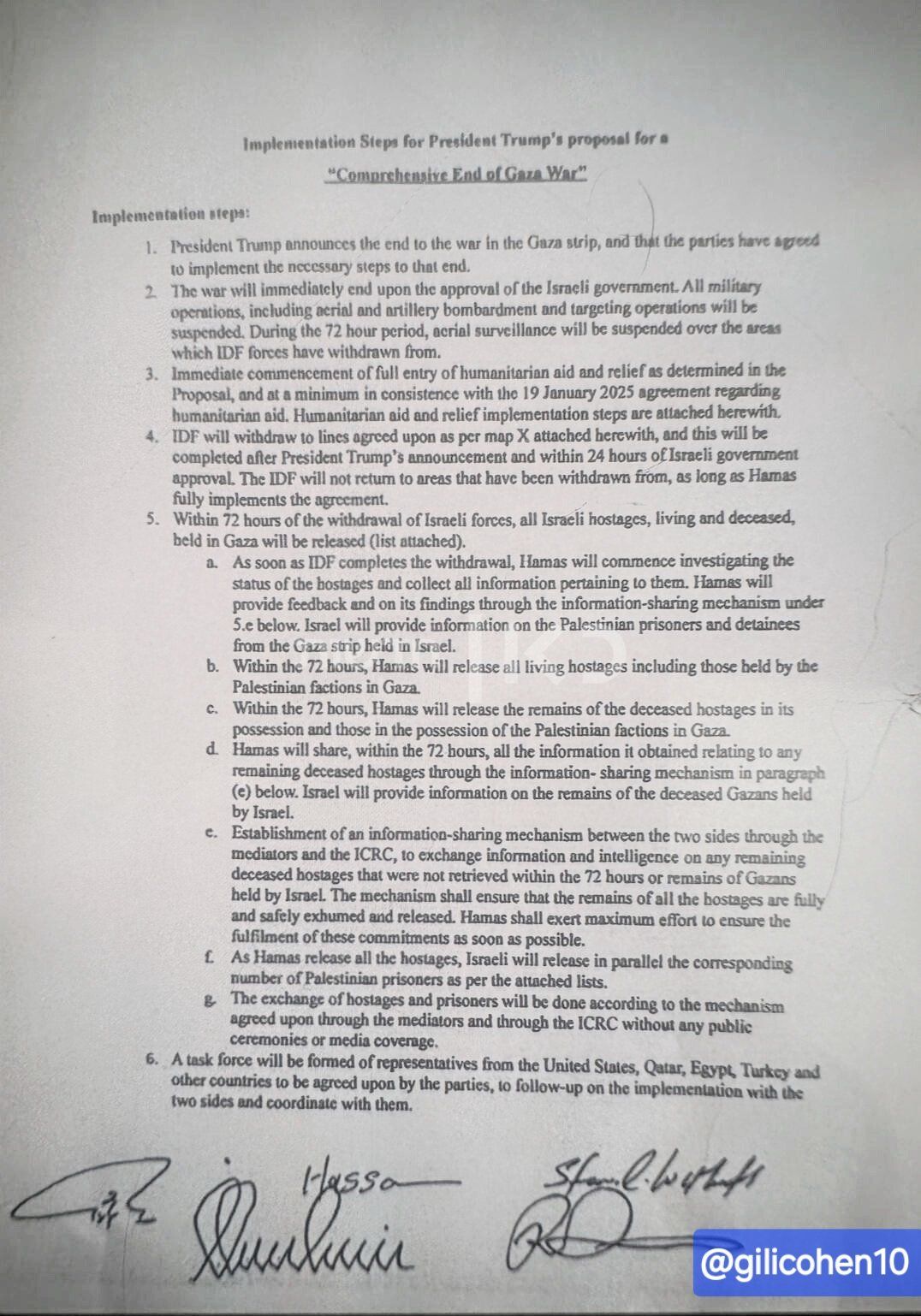
سند منتشر شده توسط شبکه کان
100%
سند منتشر شده توسط شبکه کان

متن جزییات سند منتشر شده:

مراحل اجرای طرح رئیس‌جمهوری ترامپ برای «پایان جامع جنگ غزه»

مراحل اجرا:

۱. رئیس‌جمهوری ترامپ پایان جنگ در نوار غزه را اعلام می‌کند و طرف‌ها توافق می‌کنند که گام‌های لازم برای تحقق آن را اجرا کنند.

۲. جنگ بلافاصله پس از تصویب دولت اسرائیل متوقف خواهد شد. تمام عملیات نظامی، از جمله حملات هوایی و توپخانه‌ای و عملیات هدف‌گیری، تعلیق می‌شود. در طول دوره ۷۲ ساعته، پروازهای شناسایی بر فراز مناطقی که نیروهای ارتش اسرائیل (IDF) از آن عقب‌نشینی کرده‌اند نیز متوقف خواهد شد.

۳. ورود کامل و فوری کمک‌های بشردوستانه و امدادی طبق مفاد این طرح و دست‌کم بر اساس توافق ۱۹ ژانویه ۲۰۲۵ درباره کمک‌های بشردوستانه آغاز خواهد شد. جزئیات اجرای این مرحله در پیوست آمده است.

۴. نیروهای ارتش اسرائیل طبق نقشه ضمیمه‌شده (نقشه X) از مناطق تعیین‌شده عقب‌نشینی خواهند کرد. این روند پس از اعلام رسمی رئیس‌جمهوری ترامپ و حداکثر ظرف ۲۴ ساعت پس از تصویب دولت اسرائیل تکمیل می‌شود. تا زمانی که حماس به‌طور کامل مفاد توافق را اجرا کند، ارتش اسرائیل به مناطقی که از آن‌ها عقب‌نشینی کرده بازنخواهد گشت.

۵. ظرف ۷۲ ساعت پس از عقب‌نشینی نیروهای اسرائیلی، تمام گروگان‌های اسرائیلی – زنده یا کشته‌شده – که در غزه نگهداری می‌شوند، آزاد خواهند شد (فهرست پیوست شده است).

الف. به‌محض تکمیل عقب‌نشینی ارتش اسرائیل، حماس بررسی وضعیت گروگان‌ها و جمع‌آوری اطلاعات مربوط به آنان را آغاز می‌کند و یافته‌های خود را از طریق سازوکار تبادل اطلاعات مندرج در بند (ث) به طرف مقابل ارائه می‌دهد. اسرائیل نیز اطلاعات مربوط به زندانیان و بازداشت‌شدگان فلسطینی از نوار غزه را که در اسرائیل نگهداری می‌شوند ارائه خواهد کرد.

ب. ظرف ۷۲ ساعت، حماس تمام گروگان‌های زنده از جمله آن‌هایی را که در اختیار گروه‌های فلسطینی در غزه هستند آزاد خواهد کرد.

پ. ظرف ۷۲ ساعت، حماس اجساد گروگان‌های کشته‌شده در اختیار خود و دیگر گروه‌های فلسطینی را تحویل خواهد داد.

ت. حماس ظرف ۷۲ ساعت تمام اطلاعات مربوط به گروگان‌های کشته‌شده‌ای را که هنوز تحویل داده نشده‌اند از طریق سازوکار تبادل اطلاعات در بند (ه) به اشتراک خواهد گذاشت. اسرائیل نیز اطلاعات مربوط به اجساد شهروندان غزه را که در اختیار دارد ارائه خواهد کرد.

ث. سازوکاری برای تبادل اطلاعات میان دو طرف از طریق میانجی‌ها و صلیب سرخ بین‌المللی ایجاد می‌شود تا اطلاعات مربوط به گروگان‌های کشته‌شده‌ای که ظرف ۷۲ ساعت تحویل داده نشده‌اند و همچنین بقایای اجساد شهروندان غزه در اختیار اسرائیل مبادله شود. این سازوکار باید اطمینان دهد که تمامی بقایای گروگان‌ها به‌طور کامل و ایمن شناسایی، خارج و تحویل داده شوند. حماس باید نهایت تلاش خود را برای اجرای سریع این تعهدات انجام دهد.

ج. همزمان با آزادی تمامی گروگان‌ها از سوی حماس، اسرائیل نیز به همان تعداد زندانی فلسطینی را مطابق فهرست‌های پیوست آزاد خواهد کرد.

چ. تبادل گروگان‌ها و زندانیان بر اساس سازوکار مورد توافق از طریق میانجی‌ها و صلیب سرخ بین‌المللی و بدون برگزاری مراسم عمومی یا پوشش رسانه‌ای انجام خواهد شد.

۶. کارگروهی متشکل از نمایندگان ایالات متحده، قطر، مصر، ترکیه و سایر کشورهایی که با توافق طرفین تعیین می‌شوند، برای پیگیری اجرای توافق و هماهنگی میان دو طرف تشکیل خواهد شد.

امضای دو طرف و میانجی‌ها

ترامپ: حمله به ایران برای رسیدن به توافق در مورد غزه مهم بود

۱۷ مهر ۱۴۰۴، ۱۷:۱۳ (‎+۱ گرینویچ)
ترامپ: حمله به ایران برای رسیدن به توافق در مورد غزه مهم بود
100%

دونالد ترامپ روز پنجشنبه با اشاره به جنگ ۱۲ روزه درباره توافق صلح غزه گفت ایران اکنون متفاوت است و صلح می‌خواهد. رییس‌جمهوری آمریکا گفت: «حمله به ایران برای دستیابی به توافق درباره نوار غزه مهم بود.»

او افزود: «آن‌ها نمی‌توانند سلاح اتمی داشته باشند.»

ترامپ اضافه کرد: «ایران می‌خواهد برای برقراری صلح تلاش کند و ما با آن همکاری خواهیم کرد.»

او اشاره کرد که رسانه‌ها، به غیر از رسانه‌های «تقلبی»، موضوع توافق را خوب و منصفانه پوشش دادند. ترامپ گفت کشورهای مختلف برای رسیدن به این توافق به هم پیوستند.

نتانیاهو بار دیگر خواستار اعطای جایزه صلح نوبل به ترامپ شد

۱۷ مهر ۱۴۰۴، ۱۵:۱۶ (‎+۱ گرینویچ)
نتانیاهو بار دیگر خواستار اعطای جایزه صلح نوبل به ترامپ شد
100%

بنیامین نتانیاهو، نخست‌وزیر اسرائیل، روز پنجشنبه بار دیگر از دونالد ترامپ، رئیس‌جمهور آمریکا، برای دریافت جایزه صلح نوبل حمایت کرد. نتانیاهو در حساب خود در شبکه ایکس نوشت: «جایزه صلح نوبل را به دونالد ترامپ بدهید — او شایسته آن است!»

این پیام با شکلک مدال طلا و تصویری از ترامپ در حال دریافت جایزه و تشویق جمعیت منتشر شده است.

کمیته نروژی نوبل قرار است روز جمعه برنده این جایزه معتبر را اعلام کند. رهبران برخی دیگر کشورها نیز از اعطای این نوبل به ترامپ اعلام حمایت کرده‌اند.

روز چهارشنبه ترامپ اعلام کرد که اسرائیل و حماس با مرحله نخست یک توافق صلح پیشنهادی آمریکا برای پایان دادن به جنگ طولانی غزه موافقت کرده‌اند. این توافق شامل آزادی تمام گروگان‌های اسرائیلی در دست گروه فلسطینی و همچنین خروج جزئی نیروهای اسرائیلی از غزه است.

این جنگ که با حمله حماس در ۷ اکتبر ۲۰۲۳ آغاز شد — حمله‌ای که حدود ۱۲۰۰ کشته در خاک اسرائیل برجای گذاشت — تاکنون موجب کشته‌شدن بیش از ۶۷ هزار فلسطینی شده است.

طرح صلح ترامپ برای غزه، نقطه عطفی در دیپلماسی یا تکرار یک تجربه شکست خورده؟

۱۷ مهر ۱۴۰۴، ۰۹:۳۰ (‎+۱ گرینویچ)
طرح صلح ترامپ برای غزه، نقطه عطفی در دیپلماسی یا تکرار یک تجربه شکست خورده؟
100%

تحقق توافق صلح یا حتی برقراری آتش‌بسی پایدار میان اسرائیل و حماس می‌تواند مهم‌ترین دستاورد دیپلماتیک دوران ریاست‌جمهوری دونالد ترامپ به شمار آید. با این حال، گاردین هشدار داد خوش‌بینی بیش از اندازه به این طرح ممکن است با توجه به موانع سیاسی و نظامی موجود، واقع‌بینانه نباشد.

هر چند جزییات و مراحل اجرای طرح صلح ترامپ هنوز روشن نیست اما بیانیه‌های اخیر دو طرف، اسرائیل و حماس، از منظر سیاسی معنا و اهمیت ویژه‌ای دارد.

با توجه به حمایت کشورهای عربی و دیگر قدرت‌های منطقه‌ای از این توافق، به نظر می‌رسد این بار بهترین فرصت برای پایان جنگ از زمان شکست آتش‌بس در اسفندماه فراهم شده باشد.

ترامپ ۱۶ مهر در پستی در شبکه اجتماعی تروث سوشال مرحله نخست طرح صلح را چنین ساده توصیف کرد: آزادی گروگان‌های در بند حماس در برابر عقب‌نشینی محدود نیروهای اسرائیلی.

با این حال، روزنامه گاردین در مطلبی تحلیلی که پنج‌شنبه ۱۷ مهر منتشر شد، نوشت شناسایی و آزادی همه گروگان‌ها و همچنین مدیریت روند عقب‌نشینی اسرائیل از غزه ممکن است با پیچیدگی‌های قابل توجهی همراه باشد.

  • با توافق آتش‌بس، گروگان‌های اسرائیلی آزاد و اجساد گروگان‌های کشته شده تحویل داده می‌شوند

    با توافق آتش‌بس، گروگان‌های اسرائیلی آزاد و اجساد گروگان‌های کشته شده تحویل داده می‌شوند

صلح هنوز به ایستگاه پایانی نرسیده است

ترامپ در پست خود از «برخورد منصفانه با همه طرف‌ها» و حرکت به سوی «صلحی قدرتمند، پایدار و ماندگار» در منطقه سخن گفت. این در حالی است که گاردین این میزان خوش‌بینی را «مبالغه‌آمیز» دانست.

به گفته گاردین، پرسش‌های دشواری همچنان بی‌پاسخ مانده‌اند؛ از جمله سرنوشت حماس، احتمال خلع سلاح این گروه مورد حمایت تهران و چشم‌انداز مورد نظر اسرائیل برای غزه که هنوز باید درباره آن تصمیم‌گیری شود.

گاردین افزود این وضعیت پیش‌تر نیز تجربه شده بود: ترامپ حتی پیش از آغاز رسمی ریاست‌جمهوری‌اش برای پایان دادن به جنگ غزه اقدام کرد اما آتش‌بسی که در زمستان به‌صورت شتاب‌زده برقرار شد، در پی بروز اختلافات درباره آزادی گروگان‌ها دوام نیاورد و فروپاشید.

با این حال، اکنون لحظه‌ای سرنوشت‌ساز فرا رسیده است. رییس‌جمهوری ایالات متحده که به گفته گاردین، «آشکارا رویکردی حزبی و غیرقابل پیش‌بینی» دارد، با همین ویژگی توانسته هم متحدان و هم رقیبان خود را غافلگیر کند.

ترامپ همچنین با «انگیزه‌ای شخصی» در روند تحولات منطقه‌ای پیش می‌رود: او می‌خواهد نخستین رییس‌جمهوری آمریکا پس از باراک اوباما باشد که جایزه نوبل صلح را دریافت می‌کند.

100%

تنش‌ها همچنان پابرجاست

گاردین در ادامه گزارش خود هشدار داد «نشانه‌های تنش» بر سر جنگ غزه همچنان مشهود است. حماس در بیانیه‌ای از ترامپ و سایر میانجی‌‌ها خواسته تا تضمین کنند دولت اسرائیل به تعهدات خود در چارچوب توافق پایبند خواهد ماند.

هم‌زمان بیم آن می‌رود که با پایان مرحله تبادل گروگان‌ها، اسرائیل بار دیگر حملات نظامی خود را از سر گیرد و روند صلح متوقف شود.

  • با توافق آتش‌بس، گروگان‌های اسرائیلی آزاد و اجساد گروگان‌های کشته شده تحویل داده می‌شوند

    با توافق آتش‌بس، گروگان‌های اسرائیلی آزاد و اجساد گروگان‌های کشته شده تحویل داده می‌شوند

در بیانیه حماس آمده است: «تا زمانی که آزادی، استقلال و حق تعیین سرنوشت محقق شود، هرگز از حقوق ملی مردم خود دست نخواهیم کشید.»

این موضع‌گیری اشاره‌ای غیرمستقیم به آرمان تشکیل کشور مستقل فلسطین است که بنیامین نتانیاهو، نخست‌وزیر اسرائیل، آن را رد کرده و کاخ سفید نیز تا حد زیادی از آن فاصله گرفته است.

در سوی دیگر، نتانیاهو نیز درگیر ملاحظات سیاسی پیچیده‌ای است. او باید با مخالفت سرسختانه جناح راست دولت خود، از جمله بتسالل اسموتریچ، وزیر دارایی و ایتامار بن‌گویر، وزیر امنیت ملی، مقابله کند؛ دو چهره‌ای که تهدید کرده‌اند در صورت برقراری آتش‌بس، از ائتلاف حاکم خارج خواهند شد.

ترامپ اما کوشیده است این ملاحظات را با «زور و فشار مستقیم» کنار بزند.

او پیش‌تر هشدار داده بود اگر طرح صلح ۲۰ ماده‌ای او اجرا نشود، «جهنمی تمام‌عیار» علیه حماس در غزه به راه خواهد افتاد.

به گزارش پایگاه خبری آکسیوس، زمانی که نتانیاهو نسبت به این توافق ابراز تردید کرد، ترامپ در واکنش به او گفت: «نمی‌دانم چرا همیشه این‌قدر منفی هستی؟ ... این یک پیروزی است، بپذیرش.»

این لحظه‌ای تعیین‌کننده برای رییس‌جمهوری ایالات متحده به شمار می‌رود و او ممکن است ناچار شود تمام نفوذ و اعتبار شخصی خود را برای جلوگیری از شکست دوباره مذاکرات و ازسرگیری درگیری‌ها به کار گیرد؛ وضعیتی که در صورت وقوع، به منزله شکستی دیپلماتیک برای دولت ترامپ خواهد بود.